- İMSAK 05:43
- GÜNEŞ 07:08
- ÖĞLE 13:18
- İKİNDİ 16:38
- AKŞAM 19:18
- YATSI 20:37
-
BIST 100
16088,00%-1,23
-
DOLAR
44,19% -0,05
-
EURO
50,62% 0,25
-
GRAM ALTIN
7131,71% -0,05
-
Ç. ALTIN
11571,81% 0,00
GÜNDEM
GÜNDEM Haberleri
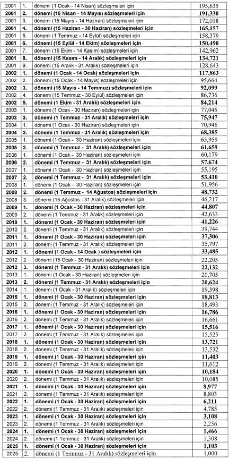
Çevre, Şehircilik ve İklim Değişikliği Bakanlığı, kamu sektöründeki proje ve kontrolluk işlerinde uygulanacak fiyat artış oranlarını güncelledi. Yeni oranlar 1 Temmuz 2025’ten itibaren geçerli olacak.
ANKARA (İGFA) - Çevre, Şehircilik ve İklim Değişikliği Bakanlığı, 7 Ağustos 2025 tarihli Resmî Gazete’de yayımlanan tebliğle, kamu sektörüne ait proje ve kontrolluk işlerinde fiyat artış oranlarını yeniden düzenledi.
28 Temmuz 1988 tarihli ve 88/13181 sayılı Bakanlar Kurulu Kararı’na dayanan tebliğ, Bakanlık Yapı İşleri Genel Müdürlüğü Proje Dairesi Başkanı’nın net maaşındaki artış oranları esas alındı.
1980-2000 yılları arasındaki fiyat artış oranlarının hesaplanmasında, 7 Ağustos 2013 tarihli ve 28731 sayılı Resmî Gazete’de yayımlanan tebliğdeki katsayıların (20,624) kullanılması gerektiği belirtilen yeni tebliğ ile 31 Ocak 2025 tarihli ve 32799 sayılı Resmî Gazete’de yayımlanan önceki tebliğ yürürlükten kaldırıldı.
Yeni oranlar, 1 Temmuz 2025 tarihinden itibaren geçerli olacak.
Sarıyer’de Trabzonlular Güç Birliği Yaptı: SATRADER Resmen Kuruldu!
Sarıyer'in yeni kaymakamı belli oldu
İzmit'te Kaldırım İşgalleri İçin Sıkı Denetim Dönemi Başlıyor
Gürcistan-Azerbaycan sınırında Türk askeri kargo uçağı düştü!

















